Ingrédients Sponsorisé

Magtein® : Du magnésium de haute qualité pour un cerveau en meilleure santé

Partage : Icone facebook Icone Linkedin Icone twitter

02.04.2026

Article sponsorisé par :

Dr. Rafea Naffa, directeur R&D chez ThreoTech, LLC

Le magnésium est le troisième complément alimentaire le plus populaire dans l’UE, 33 % des consommateurs ayant pris un supplément de magnésium au cours des 12 derniers mois.[1],[2] Sa popularité s’explique notamment par sa capacité, lorsqu’il est pris à des doses optimales, à répondre aux tendances en matière de bien-être cognitif qui motivent les acheteurs de compléments alimentaires d’aujourd’hui. Les produits promettent des bénéfices dans des domaines tels que les fonctions cérébrales, la mémoire, l’énergie, l’humeur, le vieillissement cognitif et le sommeil, qui sont tous en forte demande.

Bien que le magnésium puisse être très efficace dans tous ces domaines, il y a un hic. En réalité, la plupart des formes disponibles sur le marché européen peinent à apporter des bénéfices cognitifs significatifs. En effet, leur passage à travers la barrière hémato-encéphalique est insuffisant pour apporter les bienfaits recherchés par les consommateurs. Des études ont démontré que ce problème affecte la plupart des sels de magnésium couramment utilisés. Cela signifie qu’ils ne sont pas en mesure d’augmenter efficacement et significativement les taux de magnésium dans le cerveau. Dans ces études, aucune des formes évaluées n’a démontré une pénétration efficace dans les cellules neuronales du cerveau, ni une amélioration des capacités cognitives et de la mémoire.[3][4]

Du magnésium sans inconvénient
Une forme de magnésium apporte cependant une solution à ce défi. En 2010, des chercheurs ont associé du magnésium avec du thréonate pour développer un nouveau composé : le L-thréonate de magnésium.3 Sa structure unique facilite l’entrée = du magnésium dans le cerveau, ce qui entraîne une biodisponibilité cérébrale nettement supérieure. De nombreuses études ont démontré la capacité du L-thréonate de magnésium à pénétrer efficacement dans les neurones.4,[5],[6],[7],[8],[9],[10],[11]

Du fait que ces deux composants sont naturellement présents dans l’organisme, le L-thréonate de magnésium – désormais breveté et commercialisé sous le nom de Magtein® – est biologiquement compatible et s’intègre parfaitement aux voies métaboliques normales. Il demeure l’ingrédient de magnésium le plus efficace en matière de biodisponibilité cérébrale et son efficacité repose sur sa capacité à traverser la barrière hémato-encéphalique et à pénétrer dans les neurones. L’unicité de Magtein est soutenue par portefeuille de brevets. Son efficacité est étayée par un programme de recherche clinique rigoureux, avec cinq études cliniques en double aveugle contrôlées par placebo déjà publiées, ainsi que des recherches supplémentaires en cours.

Une réelle biodisponibilité du magnésium

La clé de la haute biodisponibilité de Magtein réside dans sa combinaison de magnésium et de thréonate, un métabolite de la vitamine C naturellement présent dans l’organisme. Les taux de thréonate sont cinq fois plus élevés dans le cerveau que dans le sang, ce qui souligne son rôle crucial pour la santé et la fonction cérébrale.4

Le thréonate pénètre dans le cerveau via les transporteurs de glucose. Ainsi, lorsque combiné au magnésium sous forme de Magtein, ce dernier peut traverser la barrière hémato-encéphalique et pénétrer dans les neurones.4,5 Il en résulte une augmentation de 54 % du taux de thréonate dans le liquide céphalo-rachidien (LCR)4 et une augmentation de 15 % du taux de magnésium.3 Il s’agit de niveaux optimaux, reconnus pour favoriser un bon fonctionnement cérébral, que Magtein atteint de manière unique, surpassant ainsi les formes de magnésium classiques.

Rajeunir le cerveau

Le cerveau est composé de milliards de synapses – des connexions qui permettent la communication entre les neurones. Avec l’âge, l’efficacité cérébrale diminue en raison de la perte neuronale et de la réduction de la densité et de la plasticité synaptiques.[12] Cependant, une étude clinique de 2016 a montré que Magtein a un effet rajeunissant sur le cerveau.[13]

L’étude a évalué l’impact de Magtein sur des adultes en bonne santé âgés de 50 à 70 ans présentant des troubles de la mémoire et de la concentration. Les participants ayant pris un complément à base de Magtein présentaient des taux de magnésium significativement plus élevés, dans la fourchette normale, comparativement au groupe placebo, ce qui indique une assimilation systémique efficace du magnésium. Ils ont en outre démontré une amélioration de leurs capacités cognitives globales, mise en évidence par un score combiné aux tests des fonctions exécutives, de la mémoire de travail, de la mémoire épisodique et de l’attention.

La supplémentation en Magtein a également entraîné une réduction de 57,6 % des « fluctuations des capacités cognitives », un indicateur précoce de déclin cognitif. De plus, une amélioration de 20 % par rapport à la valeur initiale a été observée lors d’un test de temps de réponse cognitive. Selon les chercheurs, ces améliorations équivalaient à un rajeunissement cérébral de neuf ans.

Fig. 1 : Avec l’âge, la vitesse de traitement cognitif (TMT-B) diminue linéairement. Après 12 semaines de supplémentation en Magtein, les sujets ont présenté une amélioration mesurable de leur profil d’âge cérébral, se rapprochant de neuf ans de la normale par rapport à leur profil initial.13

Amélioration de la mémoire et des fonctions cognitives

Les souvenirs sont créés, organisés et stockés dans l’hippocampe.[14] Des recherches précliniques ont montré que Magtein augmente la densité synaptique des neurones dans cette région du cerveau, ce qui entraîne une amélioration de l’apprentissage et de la mémoire.3,4

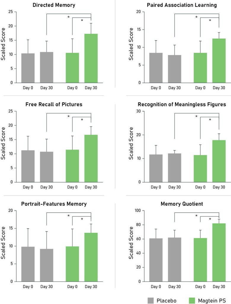
Une étude clinique de 2022 a exploré les effets d’une supplémentation avec une formule contenant du Magtein ​​et de la phosphatidylsérine, un composant essentiel des membranes cellulaires qui s’avère être particulièrement abondant dans le cerveau.[15] Des adultes en bonne santé ont pris la formule de Magtein ​ou un placebo et ont passé un test d’évaluation cognitive standard au début de l’étude, puis à nouveau après 30 jours. Des améliorations significatives ont été observées avec la formule de Magtein ​​dans tous les domaines cognitifs testés. Il est intéressant de noter que plus les participants étaient âgés, plus les améliorations étaient importantes.

Fig. 2 : La formule de Magtein a significativement amélioré tous les scores aux tests de mémoire clinique par rapport aux valeurs initiales et au placebo (p < 0,001), tandis qu’aucune modification significative n’a été observée dans le groupe placebo après 30 jours.15

Dans l’essai clinique le plus récent, la supplémentation en Magtein a significativement amélioré les performances cognitives, avec des bénéfices mesurables dans de multiples domaines, notamment la mémoire de travail et la mémoire épisodique.[16] Ces améliorations ont été observées dans le cadre d’un essai randomisé, en double aveugle et contrôlé par placebo, confirmant ainsi le rôle de Magtein dans la promotion de la mémoire et le vieillissement cognitif sain.

Un meilleur sommeil et une meilleure humeur

40 % des adultes de 60 ans et plus sont touchés par un sommeil de mauvaise qualité.[17] Le magnésium joue un rôle fondamental dans la régulation du sommeil en influençant les processus qui soutiennent l’équilibre synaptique et favorisent un sommeil réparateur à ondes lentes.[18] De plus, il régule les rythmes circadiens et soutient le fonctionnement du système nerveux central – deux éléments essentiels au maintien d’une activité cérébrale et d’un sommeil sains.[19]

Une étude de 2024 a démontré que la supplémentation en Magtein améliorait significativement la qualité du sommeil, notamment les phases de sommeil profond et paradoxal, les participants passant moins de temps en sommeil léger et plus de temps en sommeil profond réparateur.[20] Dans le cadre d’un essai clinique mené en 2026, la prise de Magtein a significativement amélioré les scores de troubles du sommeil par rapport au placebo (p < 0,05), les bénéfices les plus importants étant observés chez les participants présentant une moins bonne qualité de sommeil initiale16 . La prise de Magtein a également amélioré les marqueurs physiologiques de la récupération nocturne, notamment une diminution de la fréquence cardiaque au repos et une augmentation de la variabilité de la fréquence cardiaque.

De plus, l’étude de 2024 a évalué l’impact de Magtein sur la régulation émotionnelle.20 Après trois semaines de supplémentation, les participants ont rapporté une amélioration significative de leurs paramètres subjectifs d’humeur, avec des différences notables entre les jours 7 et 14.

Soutien à l’apprentissage et à la mémoire

Le facteur neurotrophique dérivé du cerveau (BDNF) est une protéine qui stimule la croissance, la survie et la plasticité synaptique des neurones – les fondements de l’apprentissage et de la mémoire. Une étude animale de 2010 a montré que la prise orale de Magtein augmentait les taux de magnésium dans le liquide céphalo-rachidien, entraînant une hausse du BDNF hippocampique (p < 0,05) et une amélioration de la mémoire et de l’apprentissage.3 Une étude de 2025 a confirmé la capacité de Magtein à augmenter le BDNF hippocampique et à réduire l’accumulation de peptide β-amyloïde en cas d’hypothyroïdie.6

Des niveaux plus élevés de BDNF sont systématiquement associés à de meilleures performances cognitives, à une meilleure régulation de l’humeur et à une plus grande protection contre le déclin lié à l’âge, ce qui en fait un marqueur central de la santé cérébrale à long terme7,[21] En stimulant l’expression du BDNF, Magtein renforce les connexions synaptiques, favorise la neuroplasticité et soutient un vieillissement cognitif sain.

Rôle causal du thréonate dans la santé cognitive

Les nouvelles données génétiques humaines ajoutent un niveau indépendant de confiance scientifique. Une étude de randomisation mendélienne de référence, menée en 2025, a utilisé des données génétiques humaines pour examiner si les métabolites du LCR influencent activement la cognition plutôt que de simplement refléter la santé cérébrale. Les signaux génétiques liés à 338 métabolites du LCR ont été testés en lien avec la fonction cérébrale et la cognition sur plus de 250 000 individus.[22]

Le thréonate s’est révélé être l’un des métabolites les plus robustes, exerçant un effet causal évident sur les fonctions cognitives. Des taux de thréonate dans le LCR, prédits génétiquement et plus élevés, étaient directement associés à de meilleures performances cognitives globales et à une intelligence fluide supérieure, sans qu’aucune causalité inverse n’ait été mise en évidence. Ceci est particulièrement significatif étant donné que le thréonate est naturellement présent dans le cerveau à des concentrations environ cinq fois supérieures à celles du sang.4 Magtein est spécifiquement conçu pour optimiser le taux de thréonate cérébral.3

Ces résultats apportent une confirmation génétique humaine indépendante que Magtein est biologiquement et causalement aligné sur les voies soutenant les performances cognitives cérébrales. Combinée aux études cliniques, elle montre que Magtein a des effets bénéfiques sur la santé cérébrale lorsqu’il est pris comme complément alimentaire et présente des preuves causales (génétiques) expliquant pourquoi le thréonate agit sur le cerveau. Cela confirme que le thréonate contenu dans Magtein ​​atteint le cerveau et peut être un véritable moteur biologique des performances cognitives, plutôt qu’un simple marqueur associé.

Des preuves scientifiques de plus en plus nombreuses

Au cours des dix dernières années, le L-thréonate de magnésium (Magtein) est devenu l’une des formes de magnésium les plus étudiées, ce qui a permis d’approfondir notre compréhension de ses bienfaits sur le vieillissement cognitif, la résistance au stress et le sommeil. L’essai clinique le plus récent confirme que ces bienfaits s’étendent aux jeunes adultes comme aux personnes âgées.16 Ces études indiquent également des effets positifs sur les marqueurs physiologiques de la santé neurologique et cardiaque, notamment une amélioration de la variabilité de la fréquence cardiaque, qui a été démontrée pour la première fois. Ensemble, ces études confirment que Magtein est l’un des suppléments de magnésium les mieux caractérisés pour ses effets sur les fonctions cognitives et cérébrales.

Magtein est l’une des formes de magnésium les plus étudiées pour la santé cérébrale, avec plus de 50 articles publiés sur PubMed concernant le L-thréonate de magnésium (Magtein).

Une solution sûre et intelligente pour la santé cérébrale

En novembre 2024, Magtein a obtenu le statut de Novel Food en Europe, où sa distribution est assurée exclusivement par ThreoTech LLC. Magtein peut donc être utilisé dans les produits portant des allégations de santé autorisées par l’UE concernant le magnésium. Aux États-Unis, Magtein bénéficie de l’approbation GRAS de la FDA depuis 2012 et son utilisation est également approuvée comme sûre dans les produits de consommation au Canada, au Japon, en Turquie, en Inde et en Thaïlande.

Stable, sans goût, sans odeur, incolore et soluble dans l’eau, Magtein convient à de nombreuses applications : gélules, comprimés, gels, poudres et solutions buvables. Grâce à son absorption rapide et élevée, Magtein ne provoque pas les troubles digestifs souvent associés à d’autres composés de magnésium moins bien assimilés. Ce produit est également certifié casher et halal et sans allergènes, ce qui le rend particulièrement attractif pour les divers segments de consommateurs européens.

La demande de solutions efficaces pour soutenir les fonctions cognitives liées au vieillissement cérébral, l’énergie, la mémoire, l’humeur, le sommeil, la résistance au stress et la vigilance n’a jamais été aussi forte. Les données scientifiques solides soutenant Magtein démontrent sa capacité à répondre à ces besoins, aidant ainsi les fabricants à créer des produits à base de magnésium qui tiennent véritablement leurs promesses.


Magtein®: Higher-quality magnesium for a healthier brain

Sponsored article by :

Dr. Rafea Naffa, R&D Manager, ThreoTech, LLC

Magnesium is the third most popular dietary supplement in the EU, with 33% of consumers having taken a magnesium supplement in the past 12 months1,2. Its popularity is partly due to its ability, when taken at optimal doses, to address the cognitive wellness trends that motivate today’s dietary supplement buyers. Products promise benefits in areas such as brain function, memory, energy, mood, cognitive aging, and sleep, all of which are in high demand.

Although magnesium can be very effective in all these areas, there is a catch. In reality, most forms available on the European market struggle to deliver significant cognitive benefits. This is because they do not cross the blood-brain barrier sufficiently to provide the benefits sought by consumers. Studies have shown that this problem affects most commonly used magnesium salts. This means that they are unable to effectively and significantly increase magnesium levels in the brain. In these studies, none of the forms evaluated demonstrated effective penetration into the brain’s neuronal cells or improvement in cognitive abilities and memory34.

Magnesium without the drawbacks

However, one form of magnesium offers a solution to this challenge. In 2010, researchers combined magnesium with threonate to develop a new compound: magnesium L-threonate.3 Its unique structure facilitates the entry of magnesium into the brain, resulting in significantly higher brain bioavailability. Numerous studies have demonstrated the ability of magnesium L-threonate to effectively penetrate neurons4,5,6,7,8,9,10,11

Because both components are naturally present in the body, magnesium L-threonate—now patented and marketed under the name Magtein®—is biologically compatible and integrates seamlessly into normal metabolic pathways. It remains the most effective magnesium ingredient in terms of brain bioavailability, and its effectiveness is based on its ability to cross the blood-brain barrier and penetrate neurons. Magtein’s uniqueness is supported by a portfolio of patents. Its efficacy is backed by a rigorous clinical research program, with five double-blind, placebo-controlled clinical studies already published, as well as additional research currently underway.

True magnesium bioavailability

The key to Magtein’s high bioavailability lies in its combination of magnesium and threonate, a metabolite of vitamin C that occurs naturally in the body. Threonate levels are five times higher in the brain than in the blood, highlighting its crucial role in brain health and function4 .

Threonate enters the brain via glucose transporters. Thus, when combined with magnesium in the form of Magtein, it can cross the blood-brain barrier and enter neurons4,5. This results in a 54% increase in threonate levels in cerebrospinal fluid (CSF)4 and a 15% increase in magnesium levels3. These are optimal levels, recognized for promoting healthy brain function, which Magtein uniquely achieves, surpassing conventional forms of magnesium.

Rejuvenating the brain

The brain is made up of billions of synapses—connections that enable communication between neurons. With age, brain efficiency declines due to neuronal loss and reduced synaptic density and plasticity12. However, a 2016 clinical study showed that Magtein has a rejuvenating effect on the brain13.

The study evaluated the impact of Magtein on healthy adults aged 50 to 70 with memory and concentration problems. Participants who took a Magtein supplement had significantly higher magnesium levels, within the normal range, compared to the placebo group, indicating effective systemic assimilation of magnesium. They also demonstrated improved overall cognitive abilities, as evidenced by a combined score on tests of executive function, working memory, episodic memory, and attention.

Magtein supplementation also resulted in a 57.6% reduction in “cognitive fluctuation,” an early indicator of cognitive decline. In addition, a 20% improvement from baseline was observed in a cognitive response time test. According to the researchers, these improvements were equivalent to a nine-year rejuvenation of the brain.

Fig. 1: With age, cognitive processing speed (TMT-B) declines linearly. After 12 weeks of Magtein supplementation, subjects showed a measurable improvement in their brain age profile, approaching nine years closer to normal compared to their initial profile13.

Improved memory and cognitive function

Memories are created, organized, and stored in the hippocampus14.  Preclinical research has shown that Magtein increases the synaptic density of neurons in this region of the brain, leading to improved learning and memory3,4.

A 2022 clinical study explored the effects of supplementation with a formula containing Magtein and phosphatidylserine, an essential component of cell membranes that is particularly abundant in the brain15.  Healthy adults took either the Magtein formula or a placebo and underwent a standard cognitive assessment test at the beginning of the study and again after 30 days. Significant improvements were observed with the Magtein formula in all cognitive domains tested. Interestingly, the older the participants were, the greater the improvements.

Fig. 2: The Magtein formula significantly improved all clinical memory test scores compared to baseline and placebo (p < 0.001), while no significant changes were observed in the placebo group after 30 days15.

In the most recent clinical trial, Magtein supplementation significantly improved cognitive performance, with measurable benefits in multiple areas, including working memory and episodic memory16.  These improvements were observed in a randomized, double-blind, placebo-controlled trial, confirming Magtein’s role in promoting memory and healthy cognitive aging.

Better sleep and mood

40% of adults aged 60 and over suffer from poor sleep quality17. Magnesium plays a fundamental role in regulating sleep by influencing the processes that support synaptic balance and promote restorative slow-wave sleep18.  In addition, it regulates circadian rhythms and supports central nervous system function—two elements essential for maintaining healthy brain activity and sleep19.

A 2024 study demonstrated that Magtein supplementation significantly improved sleep quality, particularly deep and REM sleep stages, with participants spending less time in light sleep and more time in restorative deep sleep20.  In a 2026 clinical trial, Magtein significantly improved sleep disturbance scores compared to placebo (p < 0.05), with the greatest benefits seen in participants with poorer initial sleep quality16. Taking Magtein also improved physiological markers of nighttime recovery, including a decrease in resting heart rate and an increase in heart rate variability.

In addition, the 2024 study evaluated the impact of Magtein on emotional regulation20. After three weeks of supplementation, participants reported a significant improvement in their subjective mood parameters, with notable differences between days 7 and 14.

Support for learning and memory

Brain-derived neurotrophic factor (BDNF) is a protein that stimulates the growth, survival, and synaptic plasticity of neurons—the foundations of learning and memory. A 2010 animal study showed that oral administration of Magtein increased magnesium levels in the cerebrospinal fluid, leading to an increase in hippocampal BDNF (p < 0.05) and improved memory and learning3. A 2025 study confirmed Magtein’s ability to increase hippocampal BDNF and reduce β-amyloid peptide accumulation in hypothyroidism6.

Higher levels of BDNF are consistently associated with better cognitive performance, improved mood regulation, and greater protection against age-related decline, making it a key marker of long-term brain health7,21. By stimulating BDNF expression, Magtein strengthens synaptic connections, promotes neuroplasticity, and supports healthy cognitive aging.

Causal role of threonate in cognitive health

New human genetic data adds an independent level of scientific confidence. A landmark Mendelian randomization study conducted in 2025 used human genetic data to examine whether CSF metabolites actively influence cognition rather than simply reflecting brain health. Genetic signals linked to 338 CSF metabolites were tested in relation to brain function and cognition in over 250,000 individuals22.

Threonate emerged as one of the most robust metabolites, exerting a clear causal effect on cognitive function. Genetically predicted, higher levels of threonate in CSF were directly associated with better overall cognitive performance and higher fluid intelligence, with no evidence of reverse causality. This is particularly significant given that threonate is naturally present in the brain at concentrations approximately five times higher than in the blood4.Magtein is specifically designed to optimize brain threonate levels3.

These results provide independent human genetic confirmation that Magtein is biologically and causally aligned with pathways supporting cognitive brain performance. Combined with clinical studies, it shows that Magtein has beneficial effects on brain health when taken as a dietary supplement and provides causal (genetic) evidence explaining why threonate acts on the brain. This confirms that the threonate contained in Magtein reaches the brain and may be a true biological driver of cognitive performance, rather than simply an associated marker.

Growing scientific evidence

Over the past decade, magnesium L-threonate (Magtein) has become one of the most studied forms of magnesium, deepening our understanding of its benefits for cognitive aging, stress resistance, and sleep. The most recent clinical trial confirms that these benefits extend to young adults as well as older adults16. These studies also indicate positive effects on physiological markers of neurological and cardiac health, including improved heart rate variability, which has been demonstrated for the first time. Together, these studies confirm that Magtein is one of the best-characterized magnesium supplements for its effects on cognitive and brain function.

Légende:

Magtein is one of the most studied forms of magnesium for brain health, with over 50 articles published on PubMed concerning magnesium L-threonate (Magtein).

A safe and smart solution for brain health

In November 2024, Magtein obtained Novel Food status in Europe, where it is distributed exclusively by ThreoTech LLC. Magtein can therefore be used in products bearing EU-authorized health claims regarding magnesium. In the United States, Magtein has been GRAS-approved by the FDA since 2012 and is also approved for safe use in consumer products in Canada, Japan, Turkey, India, and Thailand.

Stable, tasteless, odorless, colorless, and water-soluble, Magtein is suitable for many applications, including capsules, tablets, gels, powders, and drinkable solutions. Thanks to its rapid and high absorption, Magtein does not cause the digestive problems often associated with other magnesium compounds that are less easily absorbed. This product is also certified kosher and halal and allergen-free, making it particularly attractive to various European consumer segments.

The demand for effective solutions to support cognitive functions related to brain aging, energy, memory, mood, sleep, stress resistance, and alertness has never been greater. The solid scientific data supporting Magtein demonstrates its ability to meet these needs, helping manufacturers create magnesium-based products that truly deliver on their promises.

References:

[1] Ipsos, Consumer survey on dietary supplements in the EU, 2022 (survey based on 13,249 interviews in 14 EU Member States)

2ITC, Consumer survey, 2024

3Slutsky I, Abumaria N, Wu L, et al. Enhancement of learning and memory by elevating brain magnesium. Neuron. 28 jan 2010;65(2):165-77. https://doi.org/ 10.1016/j.neuron.2009.12.026

4 Sun Q, Weinger JG, Mao F, Liu G. Regulation of structural and functional synapse density by L-threonate through modulation of intraneural magnesium concentration. Neuropharmacology. Sept. 2016;108:426–439. doi: 10.1016/j.neuropharm.2016.05.006. Epub 10 mai 2016.

5Zhou H, Liu G. Regulation of density of functional presynaptic terminals by local energy supply. Mol Brain. 2015;8:42. doi: 10.1186/s13041-015-0132-z

6Akkaya EC, Ilgin R, Adil H, Çelik A. Magnesium L-threonate reduces hippocampal amyloid-β Load without cognitive improvement in a PTU-induced hypothyroidism model in young rats. Mol Neurobiol. 7 nov. 2025;63(1):8. doi: 10.1007/s12035-025-05322-5

7Faraji J, Metz GAS. Harnessing BDNF signaling to promote resilience in aging. Aging Dis. 3 sept. 2024;16(4):1813–1841. doi: 10,14336/AD.2024.0961

8 Kim YS, Won YJ, Lim BG, et al. Neuroprotective effects of magnesium L-threonate in a hypoxic zebrafish model. BMC Neurosci. 26 juin 2020;21(1):29. doi: 10.1186/s12868-020-00580-6

9Fu C, Huang L, Lian C, et al. Effects of long-term magnesium L-threonate supplementation on neuroinflammation, demyelination and blood-brain barrier integrity in mice with neuromyelitis optica spectrum disorder. Brain Res. 1 jan. 2025;1846:149234. doi: 10,1016/j.brainres.2024.149234

10Park G, Kim N, Kim SY, et al. TUSC3 regulates ERMA-mediated Mg2+ uptake for synaptic function and neurodevelopment. Nat Commun. 2025;16:9752. https://doi.org/10.1038/s41467-025-65668-1

11Zhou H, Bi GQ, Liu G. Intracellular magnesium optimizes transmission efficiency and plasticity of hippocampal synapses by reconfiguring their connectivity. Nat Commun. 2024;15:3406. doi:10.1038/s41467-024-47571-3

12Navakkode S, Kennedy BK. Neural ageing and synaptic plasticity: prioritizing brain health in healthy longevity. Front Aging Neurosci. 5 août 2024;16:1428244. doi: 10,3389/fnagi.2024.1428244

13Liu G, Weinger JG, Lu Z, et al. Efficacy and safety of MMFS-01, a synapse density enhancer, for treating cognitive impairment in older adults: a randomized, double-blind, placebo-controlled trial. J Alzheimers Dis. 2016;49:971–990. doi: 10,3233/JAD-150538

14Fortin NJ, Agster KL, Eichenbaum HB. Critical role of the hippocampus in memory for sequences of events. Nat Neurosci. Mai 2002;5(5):458-62. doi: 10,1038/nn834

15Zhang C, Hu Q, Li S, et al. A Magtein®, magnesium l-threonate, -based formula improves brain cognitive functions in healthy Chinese adults. Nutrients. 2022;14(24):5235. https://doi.org/10.3390/nu14245235

16Lopresti AL, Smith SJ. The effects of magnesium L‑threonate (Magtein®) on cognitive performance and sleep quality in adults: a randomised, double‑blind, placebo‑controlled trial. Front Nutr. 2025;12:1729164. doi:10.3389/fnut.2025.1729164

17Canever JB, Zurman G, Vogel F, et al. Worldwide prevalence of sleep problems in community-dwelling old adults: a systematic review and meta-analysis. Sleep Med. 2024;119:118-134. https://doi.org/10.1016/j.sleep.2024.03.040

18Maier JAM, Locatelli L, Fedele G, et al. Magnesium and the brain: a focus on neuroinflammation and neurodegeneration.Int J Mol Sci. 2023;24:223. https://doi.org/10.3390/ijms24010223

19Feeney K, Hansen L, Putker M, et al. Daily magnesium fluxes regulate cellular timekeeping and energy balance. Nature. 2016;532:375–379. https://doi.org/10.1038/nature17407

20Hausenblas HA, Lynch T, Hooper S, et al. Magnesium-L-threonate improves sleep quality and daytime functioning in adults with self-reported sleep problems: a randomized controlled trial. Sleep Med X. 2024 Aug 17;8:100121. doi: 10.1016/j.sleepx.2024.100121. Erratum dans : Sleep Med X. 03 juin 2025;9:100141. doi: 10,1016/j.sleepx.2025.100141

21Molinari C, Morsanuto V, Ruga S, et al. The role of BDNF on aging-modulation markers. Brain Sci. 2020;10(5):285. https://doi.org/10.3390/brainsci10050285

22Liu Q, Meng LB, Qi TQ, et al. Exploring cerebrospinal fluid metabolites, cognitive function, and brain atrophy: insights from Mendelian randomization. Open Med (Wars). 4 Août. 2025;20(1):20251237. doi: 10.1515/med-2025-1237

Actif logo

Ce contenu est reservé aux abonnés

Logo Actif's connect

Toute l’actu nutraceutique en un clic :